Ученые обнаружили планеты, на которых может существовать земная жизнь

Автор
Ученые обнаружили планеты, на которых может существовать земная жизнь

Помимо наличия воды, они должны получать умеренное количество ультрафиолета.

Исследователи из Кембриджского университета (Великобритания) воспользовались результатами научной работы 2015 года, чтобы определить, на каких экзопланетах возможна жизнь, подобная земной. Статья опубликована в журнале Science Advances.

Автор работы, астрофизик Пол Риммер (Paul Rimmer), ссылаясь на исследование 2015 года, опубликованное в Nature Chemistry, объяснил замысел ученых:

"Жизнь такой, как мы ее знаем, требует молекулярных структур, которые выполняют различные функции в клетке. К ним относятся ДНК, РНК, белки и клеточная мембрана — все они состоят из относительно простых строительных блоков: липидов, нуклеотидов и аминокислот. Долгое время мы не знали, как появились эти строительные блоки, но изыскания последних лет раскрыли эту тайну. К примеру, если посвятить ультрафиолетом на синильную кислоту в воде и при этом добавить негативно заряженный ион, такой как бисульфит, то появятся простые сахара".

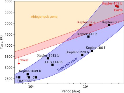
Исследователи предположили, что при наличии большого количества синильной кислоты в протопланетном диске и негативно заряженных ионов ультрафиолет действует как катализатор для образования "строительных блоков". Они изучили планеты-кандидаты "Кеплера", чтобы определить, какое количество ультрафиолета они получают и достаточно ли его для образования жизни. Сравнив реакции "светлой" и "темной" химии (с избытком и недостатком ультрафиолета), они вывели оптимальное количество излучения и назвали его зоной абиогенеза.

Ученые совместили зону абиогенеза с обитаемой зоной (там, где возможно образование воды) и выделили планеты, которые близки по этим признакам к Земле. Ближе всех оказалась планета Kepler-452 b. Все остальные расположились значительно ниже. По мнению авторов исследования, есть смысл наблюдать за местами, которые так похожи на Землю.