В Украине повысили тарифы на отопление для населения: сколько придется платить

Автор
2488
В Украине повысили тарифы на отопление для населения: сколько придется платить

24 декабря в Украине повысили тарифы на производство тепловой энергии для населения на 2021 год.

24 декабря в Украине повысили тарифы на производство тепловой энергии для населения, бюджетных и религиозных организаций и других потребителей на 2021 год.

Об этом сообщили на заседании Нацкомиссии осуществляющей госрегулирование в сферах электроэнергетики и коммуслуг.

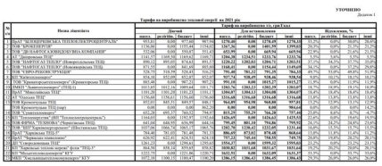
Таким образом тарифы на тепло для населения были повышены всем 23 ТЭЦ. При этом наименее повышен тариф для Днепровской ТЭЦ (5,5%), наиболее – для ООО "Евро-реконструкция" (на 49,7%). 

В числе компаний, которым наиболее повышены тарифы для населения:

  • Новораздольская и Новояворивская ТЭЦ (обе ООО "Нафтогаз Тепло", на 37,1% и 34,1%),
  • Белоцерковская ТЭЦ (33,2%),
  • ООО "Сумытеплоэнерго" (на 25%),
  • Черниговская ТЭЦ (ООО "Технова", на 24,1%),
  • а также две когенерационные установки КП "Миськтепловодоэнергия" (на 33,5%) и КП "Хмельницктеплокоммунэнерго" (на 29,3%).

Средний тариф для поставок тепла населению для 23 компаний составил после повышения 1121,71 грн/Гкал. В то же время наиболее высокий размер тарифа у Северодонецкой ТЭЦ ‒ 1471,54 грн/Гкал, наиболее низкий – у ТЭЦ-2 Эсхар (Харьковская обл.) ‒ 653,99 грн/Гкал. 

Полная информация о тарифах есть в таблице:

Стоит отметить, что НКРЭКУ устанавливает тарифы на производство тепловой энергии для 26 лицензиатов с объемом выработки более 170 тыс Гкал и уровнем коммерческого учета энергии более 90%, которые производят 50% тепловой энергии в Украине.

Напомним, что ранее "Телеграф" рассказывал, как формируются тарифы и сколько стоит коммуналка.